- 수출관세 인상, 해운 운인 상승으로 어려워지고 있는 러시아 극동지역 철스크랩 비즈니스 -
- 무역사기 사례도 있어, 믿을 수 있는 수출상과 에이전트 발굴이 중요 -
김현수 대표, MICE-DV
지난 몇 년간 러시아는 내수 산업 보호 및 국가 건설 프로젝트에 사용할 철강재 생산량 확보를 위해 다양한 철스크랩 수출 제한 조치를 시행해 왔다. 이와 함께 최근 전 세계적인 해운 호황에 따라 벌크 선박 운임이 인상되면서 극동 지역에서 철스크랩을 해외로 수출하는 비즈니스는 점점 어려움이 가중되고 있는 상황이다. 이에 현재 러시아 극동지역 철스크랩 시장 동향과 철스크랩 수출사업 진행 시 주의해야 할 점에 대해 정리해 보고자 한다.
러시아 극동지역 철스크랩 비즈니스 구조
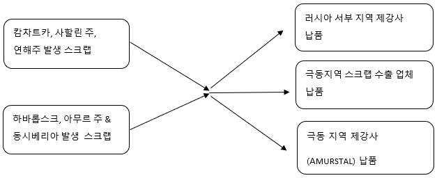
러시아 극동지역에서는 주로 캄차트카, 사할린, 연해주 등 완제품 수입이 많은 지역에서 철스크랩이 많이 나온다. 또한 하바롭스크, 아무르 등과 동시베리아 지역 등 산업재 생산이 이루어지는 곳에서도 철스크랩이 많다. 이렇게 모이는 철스크랩은 러시아 서부지역의 제강사로 판매되거나 해외로 수출된다. 일부는 극동지역의 유일한 제강사인 AMURSTAL에 납품된다.
최근 극동지역 철스크랩 수출 비즈니스 동향
① 스크랩 수출 관세 인상에 따른 수출원가 상승
러시아 정부는 2021년 1월 철스크랩 수출 최소 관세 기준을 7월 말까지 기존 5 EUR에서 45 EUR로 대폭 인상했다. 이는 러시아 내수 산업을 보호하고 러시아 내 제강사들의 원자재 확보를 원할하게 하기 위한 조치였다. 또한 지난 5월에는 러시아 산업통상부가 최소 관세 기준을 45 EUR에서 70 EUR로 추가 인상하는 방안을 논의하고 있으며, 관련 법안을 준비하고 있다는 뉴스도 있었다. 이러한 관세 인상 조치는 스크랩 수출 업체들의 원가 상승으로 이어져 러시아 내 철스크랩 수출 비즈니스를 위축시키고 있다.
② 극동지역 제강사 ‘AMURSTAL’의 구매력 상승
러시아 정부의 철스크랩 수출 관세 인상 이후 극동 지역의 유일한 전기로 제강사인 ‘AMURSTAL’은 이전과 비교하여 더욱 공격적이고 적극적으로 철스크랩 구매에 나서고 있다. 극동지역의 철스크랩 수출 업체들에 비해서는 톤 당 약 60~70 USD 더 높은 가격으로 철스크랩을 구매하는 정책을 유지하고 있다. ‘AMURSTAL’은 월 10만 톤 이상의 철스크랩을 구매하고, 월간 8만 톤 이상의 철강재를 생산한다는 목표를 내부적으로 세웠으며, 점차 목표에 근접하고 있다.
AMURSTAL의 2021년 1분기 철스크랩 구매현황
(단위: MT)
| 구분 | 1월 | 2월 | 3월 | 합계 |
| 2020년 | 20,946 | 5,883 | 50,974 | 77,803 |
| 2021년 | 41,804 | 56,721 | 80,537 | 179,062 |
| 증가율 | 99.58% | 864.15% | 58.00% | 130.15% |
AMURSTAL의 2021년 1분기 제품 판매량
(단위: MT)
| 구분 | 1월 | 2월 | 3월 | 합계 |
| 2021년 | 67,152 | 48,024 | 64,898 | 180,074 |
이로 인해 극동러시아의 철스크랩 수출 업체들은 수출 물량 확대에 어려움을 겪고 있다. ‘AMURSTAL’에 판매하기에는 물류비 부담이 있는 곳이나, 기존에 거래 관계가 탄탄한 극동의 연해주, 사할린, 캄차카 등의 수출항구 인근 하부 판매상을 통해서 소량의 물량만 구입하고 있는 실정이다.
③ 해운 운임 상승에 따른 수출원가 상승
코로나19 상황이 발생한 이후 금년 경기 회복 기대감이 계속되면서 글로벌 해운 운임이 역대 최고치를 기록하는 등 해운 운임 강세가 지속되고 있다. 따라서 철스크랩 수출을 위한 러시아 극동지역과 한국 간 벌크선 운임 역시 과거와 비교하여 약 2배 수준으로 인상되었다. 앞서 언급한 수출 관세 인상과 더불어 해운 운임 역시 수출 원가 상승의 주요 원인으로 작용하고 있다.
또한 석탄, 곡물 등 벌크 물동량 역시 증가하며, 선주들이 상대적으로 선적, 하역 효율이 떨어지는 철스크랩 선적을 기피하는 현상도 일부 벌어지고 있어 배선에 어려움을 겪고있는 것 역시 극동러시아의 철스크랩 수출을 위축시키는 요인이 되고 있다.
극동러시아 철스크랩 비즈니스 시 주의할 점
① 현지 철스크랩 시장 특성
철스크랩 역시 원자재로 규모가 작지 않은 사업이므로 신규 수출 업체의 시장 진입은 쉽지 않다. 현재 연해주, 캄차카, 사할린 등 극동지역 주요 항구에 위치한 수출 업체들 역시 장기간 업력을 가지고 있으며 이미 한국 에이전트사와 계약을 맺고 한국과의 비즈니스를 진행하고 있다. 따라서 극동 철스크랩 수출 비즈니스의 원활한 진행을 위해서는 현지 수출업체와 한국 에이전트와의 관계를 잘 확인해야 한다. 신규 수출 업체의 경우 실제로 수출 사업을 진행하는 업체가 맞는지 철저히 확인한 후 거래 협의를 진행하는 것이 좋다. 특히 코로나 19로 출장을 나오기 어렵다는 점을 악용하여 수출항에 보관 중인 타 업체의 사진으로 거래를 유도하는 사기 행태에 주의해야 한다.
② 철스크랩 절단용 폐선 구매 관련 주의사항
지난 해부터 코로나19로 인한 경기 악화 요인으로 정부에 압류되는 선박이 증가하여 해당 선박에 대한 판매 입찰이 진행되는 경우가 많다. 여기서 낙찰 받은 선박 중 노후 선박은 철스크랩용으로 한국, 중국 혹은 말레이시아로 판매하려는 시도가 증가하고 있다. 이러한 선박들 중 압류 사유에 따라 구매 시 수출 허가를 받기 위한 선박 관련 서류가 미비한 경우가 있다. 또한 서류상 철스크랩 예상량과 실제 철스크랩 사이에 차이가 있을 수 있다. 따라서 이런 선박을 구매할 때에는 관련 정보를 정확하게 확인한 후 거래 협의를 진행해야 한다.
극동 러시아에서 다년간 철스크랩 수출업무를 하면서 경험했던 사항을 바탕으로 작성한 이 글이 극동 러시아와의 철스크랩 비즈니스를 하려는 분들에게 도움이 되기를 바란다.
※ 해당 원고는 외부 전문가가 작성한 정보로, KOTRA 공식의견이 아님을 알려드립니다.

































