장기추적 관찰 연구논문 SCI급 국제학술지 게재
통증(NRS)·기능장애(NDI)·삶의질(EQ-5D) 지수 긍정적 변화 확인
치료 만족도 부분, 응답자의 95.8% 한의통합치료 결과 '호전됐다' 응답
통증(NRS)·기능장애(NDI)·삶의질(EQ-5D) 지수 긍정적 변화 확인
치료 만족도 부분, 응답자의 95.8% 한의통합치료 결과 '호전됐다' 응답
이미지 확대보기자생한방병원 척추관절연구소 4일 경추척수증에 대한 비수술 한의통합치료의 임상적 유효성을 밝힌 연구논문을 발표했다.
경추척수증은 경추의 퇴행성 변화 등으로 중추 신경이 눌려 팔 감각 이상과 마비 등을 유발하는 질환이다. 말초신경을 압박하는 목디스크와 다르게 중추신경을 자극하고 있어 물리치료나 약물치료 등으로 잘 호전되지 않아 일반적으로 수술적 접근이 행해진다.
논문에 따르면 경추척수증 환자가 비수술 치료법인 한의통합치료를 받은 결과 통증과 기능장애는 줄고 삶의 질은 향상되는 것으로 나타났다. 해당 연구논문은 SCI(E)급 저널 'Journal of pain research(IF=3.133)' 3월호에 게재됐다.
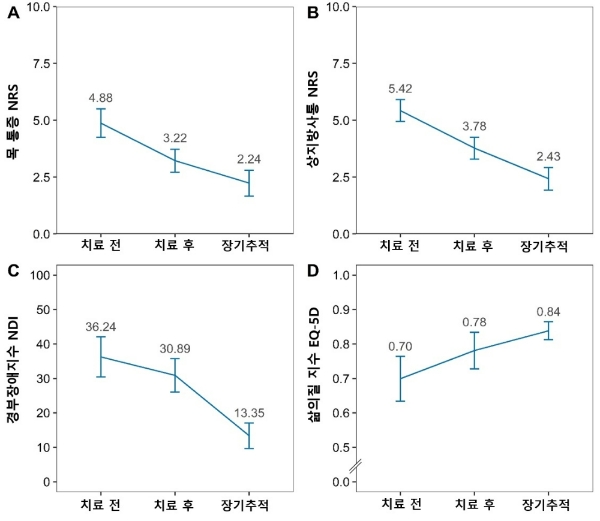
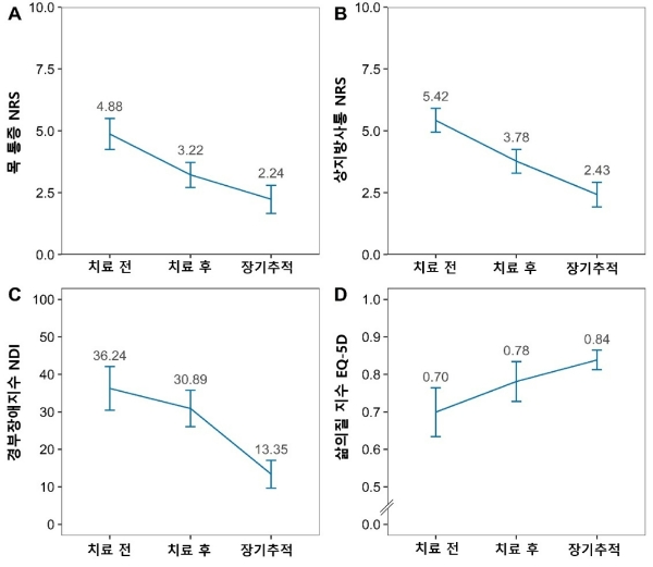
이미지 확대보기이어 연구팀은 한의통합치료의 유효성을 측정하는 지표로 △목·팔(상지) 통증 숫자평가척도(Numeric Rating Scale, NRS) △경부장애지수(Neck Disability Index, NDI) △삶의 질 척도(EuroQol-5 Dimension, EQ-5D) 등을 활용했다. NRS는 통증 정도를 0~10으로 표현한 척도로 숫자가 클수록 통증이 심함을 의미한다. 목 기능 상태를 나타내는 NDI(0~100)도 점수가 높을수록 장애가 심함을 뜻한다. EQ-5D의 경우 좋은 상태를 1로 죽음보다 못한 건강상태를 마이너스 점수(-1)로 표현된다.
연구 결과 목·팔 통증 NRS는 각각 치료 전 중등도의 통증인 4.88, 5.42에서 한의통합치료 후 경미한 통증(3점대) 수준으로 떨어져 유의미한 치료 효과가 확인됐다. NDI 지표의 경우 중등도의 장애 수준인 36.24이 치료 후 30.89로 소폭 개선됐다. 삶의 질에서도 EQ-5D 값은 0.70에서 0.78로 올라 긍정적인 변화가 확인됐다.
호전 양상은 장기추적관찰에서 더 뚜렷한 변화를 보였다. 연구팀은 치료 시점을 기준으로 약 2년 6개월 뒤, 총 21명이 참여해 장기추적 설문조사를 실시했다. 추적 결과 목·팔 통증 NRS는 경미한 수준인 2점대로 감소했다. 특히 NDI의 경우 13.35로 대폭 개선돼 장애가 경미한 수준으로 떨어졌고 환자 치료 만족도 조사에서도 단 1명을 제외하고 95.8%(20명)가 '호전됐다'고 답했다.
김태형 글로벌이코노믹 기자 thkim@g-enews.com

































