- 코로나 청정국 라오스, 코로나 확진자 증가에 록다운 장기화 추세 -
- 소비시장 위축, 물류에도 비용 및 소요기간 늘어 -
- 코로나 영향으로 프로젝트 시장도 위축… 상반기 중 영향 미칠 것으로 전망 -
라오스는 선제적인 록다운(Lockdown)을 통해 동남아에서 가장 먼저 코로나19 종식을 선언했었다. 지난 해 3월 31일 약 한 달간의 록다운 후 선택적 국경봉쇄가 효과를 내 코로나 청정국으로 불렸다. 지난 달 4월 14일부터 시작된 신년 삐마이 연휴 이후 상황이 180도 바뀌었다.
확진자 급증에 2차 록다운 단행, 첫 코로나 사망자 발생
라오스 신년 연휴 기간에는 고향이나 관광지를 찾는 인파가 크게 증가한다. 국경 봉쇄에도 불구하고 비공식적으로 태국을 드나드는 경우가 있는데, 태국에서 시작된 코로나 증가세의 불길이 라오스에 그대로 옮겨 붙었다. 인도발 코로나 영향이 동남아로 건너와 라오스까지 도달한 것이다.
특히 태국 농카이주를 다녀온 59번째 확진자가 확진 전까지 비엔티안 시내를 광범위하게 돌아다닌 것이 확인되면서 위기감이 고조됐다. 라오스 정부는 지난 4월 22일부터 5월 5일까지 2주간 비엔티안 시에 대한 록다운을 공표했다. 금융, 물류 등 일부 업종을 제외하고, 재택근무가 의무화되고, 원칙적으로 생필품 구입, 병원 내방 등을 제외하고는 이동이 엄격히 제한된다. 4월 23일부터는 봉쇄지역이 보케오주 등 7개 지역으로 확대됐고 사실상 전국적으로 봉쇄령이 내려져 지역간 이동이 금지되고 있다.
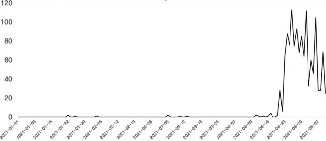
라오스 코로나 누적 확진자 규모는 5월 10일 기준 1327명이다. 237명이 완치됐고, 1,089명이 치료 중이며, 지난 5월 9일 최초 사망자가 나왔다. (53세 베트남 여성) 지난 해까지는 누적 확진자가 41명에 불과했으나, 올해 들어 1,286명의 신규 확진자가 나왔다. 특히 지난 4월 21일부터 코로나 확진자가 급증하여 일일 평균 63.4명을 기록해 20일만에 1267명의 확진자가 발생했다. 주변국 대비 적지만 인구 규모(720만 명)를 고려할 때 무시할 수 없는 규모다.
2021년 코로나19 확진자 추이 (2021.1.1.~5.10.)
(단위 : 명)
자료: 보건부 발표자료를 KOTRA 비엔티안 무역관이 재구성
확진자의 지역별 분포를 보면 비엔티안 시에 집중된 것이 특징이다. 2021년 기준 비엔티안 시의 확진자는 전체 규모의 54%다. 보케오주, 참파삭주가 뒤를 이어 각각 22.3%, 14.1%를 기록했다.
2021년 지역별 확진자 수
(단위: 명)
자료: 보건부 발표자료, 언론보도 자료를 종합해 KOTRA 비엔티안 무역관이 재구성
라오스의 록다운은 지난 해 경험 탓인지 큰 혼란이나 사제기 없이 조용하게 진행되고 있다. 4월 말까지는 문을 여는 식당이나 상점들이 보였으나, 5월 들어 점차 거리를 통제하는 분위기가 형성됐고 문을 여는 소매점들도 줄어들고 있다.
비엔티안 도시 내 교통 통제를 위한 바리케이드 설치
자료: KOTRA 비엔티안 무역관 촬영
라오스 부총리는 지난 5월 4일 록다운 종료를 하루 앞두고 봉쇄를 15일 더 연장한다고 공식 발표했다. 이달 20일까지다. 당초 록다운 연장 시 거리 이동 자체가 봉쇄될 것이라는 예상이 있었으나, 기존 록다운 수준에서 기간만 연장하는 방식을 취했다. 또 지난 5월 7일부터는 비엔티안 시 확진자 규모가 15명 이하로 줄어들면서 도로를 봉쇄를 위한 바리케이드 대다수가 사라졌다.
록다운이 장기화되면서 거리는 한산해지고, 아직까지 문을 연 상점들을 찾아보기가 어렵다. 반면 재택근무를 해온 라오스 정부 공무원들은 5월 10일부터 차츰 업무로 복귀하는 추세다. 또 비엔티안시 도로에는 출근시간을 중심으로 차량이 조금씩 증가하고 있다.
정부의 록다운 조치 이후 소비재 분야 위축
록다운이 장기화되면서 식수 등 생활에 필수적인 일부 품목을 제외하고는 어려움이 가중되는 상황이다. 선진국에서는 코로나 영향으로 홈코노미 제품들의 인기가 높지만, 라오스는 온라인 판매가 보편화되어 있지는 않아서 전반적인 소비가 축소되는 분위기다.
Q. 록다운 이후 상황이 어떠신가요? 매출에 영향이 큰지요? “현재까지 록다운에 대한 직접적 타격은 없다. 라오스 정부로부터 록다운 기간 중 생활 필수품에 대한 재고관리 및 가격 통제를 하도록 지침이 내려와 유통점을 모니터링 하고 있는 상황이다. 생활소비재를 취급하다 보니 그나마 매출이 나은 것인데 코로나 상황이 개선되지 않고, 록다운이 5월 말 이후로 더 연장된다면 매출에도 영향이 있을 것이다. 라오스 소비재 시장은 통상적으로 6월부터 9월까지가 비수기인데 코로나 영향까지 겹친다면 어려움이 클 것이다. 특히나 최근 실직자가 증가하고 있고, 업무시간 감축에 따라 급여를 낮추는 기업들도 있어 소비시장이 더 얼어붙을 것으로 전망된다.” (유니레버 브랜드 총판 KP Company Ltd. Vilayphone이사) |
그 밖에 화장품 업계도 어려움을 호소한다. 록다운 기간 중 외출이 최소화되고, 결혼식 등 행사들이 중단되면서 생활 필수품에서 벗어난 화장품 소매점들이 힘든 상황이다. 특히 대다수 소매점들은 오프라인 판매에 익숙하다 보니 록다운의 영향을 그대로 받고 있다. KOTRA 비엔티안무역관에서 관리하고 있는 한 바이어는 “록다운이 시작 초기에는 영업이 어느 정도 됐으나, 점차 매장에 근무하는 직원들이 도시간 이동 봉쇄로 출근을 못하게 되면서 판매를 전혀 못했다”면서 “록다운이 계속 연장된다면 업종 전환까지 고려해야 할 듯싶다”고 밝혔다.
라오스에 대한 지원의 손길 이어져
라오스의 최대 투자 국가인 중국이 가장 먼저 손길을 내밀었다. 중국은 지난 5월 5일 25명의 의료진과 더불어 마스크, 방호복, 테스트장비 등 150만 달러 규모의 의료 관련 품목을 지원했다. 25명의 의료진은 라오스-중국간 철도건설 현장과 비엔티안에 소재한 중국계 경제특별구역(Vientiane Saysettha Development Zone)을 우선 점검하고, 라오스 보건부와 협력하여 라오스 내 병원 등에서 코로나 관련 대응활동을 지원하고 있다. 그간 중국의 대라오스 투자규모는 2020년 말 누적 기준으로 596개사 62억 달러에 달한다.
태국의 지원도 뒤를 이었다. 지난 5월 7일 태국 정부는 현지 대사관을 통해 구호물자와 현금 200만 바트(약 6만4000달러)를 라오스에 전했다. 구호물자는 2차로 나눠서 전달하는데, 1차 지원 물품은 430만 바트(약 13만 달러) 규모로 180개 병상과 마스크 5만개, 방호복 2370개 등으로 구성됐다. 태국은 이달 말까지 850만 바트(약 27만 달러) 규모로 구성된 2000개의 방호복과 2500개의 코로나 검진기, DNA/RNA 추출기 등을 추가로 공급할 예정이다. 사바나켓주에는 제세 동기, 환자 감시장치, 적외선 온도기, 산소 조절기 등 의료기기가 기증된다. 민간 차원의 지원도 이어졌다. 라오스 내 태국 상공회의소 등 민간 경제단체들은 340만 바트(약 11만 달러) 규모의 현금과 의료기기를 5월 12일 라오스 정부에 전달할 예정이다. 태국의 대라오스 투자규모는 중국에 이어 2위다. 지난 2020년까지 47개사가 약 6억달러를 투자했다.
록다운 기간이 당초 2주에서 한달 간으로 장기화되면서 라오스 국민들의 어려움이 가중되고 있다. 라오스 노동복지부는 지난 5월 6일 코로나로 인해 생활고를 겪고 있는 국민들을 위해 특별 정책을 발표하겠다는 계획하에 관련된 정보를 수집하고 있다고 밝혔다. 수도세 및 전기세 인하, 대출이자율 완화 등을 검토중인 것으로 알려졌다.
코로나 이후 수출 물류에 대한 리스크 증가세
| Q. 코로나 영향이 커진 상황에서 수출 중소기업에 조언을 주신다면? “한국에서 라오스로 수출을 한다면 컨테이너 예약부터 챙겨야 한다. 최소 1-2주 넉넉하게 일정을 잡고 사전 예약을 하는 것이 바람직하다. 또 코로나로 인해 통관 과정도 까다로워졌다. 라오스 보세구역에 컨테이너가 도착할 경우 하역작업이 필수이며, 라오스 내 타 도시로 이동 시에는 운송차량을 라오스 내 등록차량으로 교체가 필수다. 라오스는 내륙국가이기 때문에 태국, 베트남에서 육상운송 과정이 수반되는데, 국경 통과를 위해 코로나 검사비용 및 지역 간 검문비용으로 약 150달러가 추가로 발생하고 있다.” |
코로나 영향 장기화될 조짐
록다운이 한달 이상 장기화될 경우 경제에 미칠 영향이 크기 때문에 대다수 현지 전문가들은 이달 20일로 봉쇄 조치가 끝날 것으로 예측하고 있다. 다만, 코로나 확진자 동선에 대한 기술적 파악이 어려운 상황에서 정부의 확진자 발표를 믿기 어렵다는 주변 반응도 감지된다.
라오스는 2019년 기준 해외 여행객 수가 15억 명에 달한다. GDP에서 관광산업이 차지하는 비중은 10.4%이며, 많은 일자리를 제공하는 경제성장의 든든한 버팀목이었다. 지난 해 3월 말부터 시작된 국경 봉쇄는 관광산업과 코로나 대응이라는 갈림길에서 성장보다는 장기적 안전을 택한 조처였다. 2차 록다운이 뼈아픈 이유다.
주변국 상황을 보면 라오스가 코로나를 빠르게 극복할지 의구심이 든다. 완벽한 국경봉쇄는 물리적으로 어렵기 때문이다. 인도는 지난 3월 중순부터 신규 확진자가 가파르게 증가하여 4월 말에는 일일 확진자가 40만 명을 넘어섰다. 주간 단위의 이동평균은 계속 증가세다. 태국도 상황이 심상치 않다. 지난 5월 10일 신규확진자는 1630명으로 다소 줄었으나, 4월부터 시작된 코로나 확산 세는 계속해서 높은 상태를 유지하고 있다. 태국은 5월 1일 인도에 이어 5월 10일부터는 방글라데시, 네팔, 파키스탄으로부터 입국하는 외국인을 모두 차단키로 했다. 캄보디아도 코로나 영향에서 벗어나 있다가 3월 말부터 확진자가 증가하는 추세다. 캄보디아는 프놈펜을 중심으로 지난 4월 15일부터 록다운 조치를 발표 후 5월 6일 종료했다.
건설 프로젝트 관련 분야는 록다운 적용 예외 업종으로 지정됐으나, 신규 프로젝트 공고는 계속해서 연기되는 분위기다. 현지 발주처, 경제특구 관리사무소, 바이어 등 대다수 연락을 취하기에 애로가 있다. 대다수 기업들이 교대근무를 넘어서 급여를 조정하여 근무시간 자체를 줄이고 있기 때문이다.
현 시점은 라오스 바이어 발굴을 위해 마케팅과 판촉에 집중할 시기다. 라오스 바이어들은 화상상담에도 거부감이 없으며, 왓츠앱(WhatsApp) 등 채팅 프로그램으로 업무 연락을 하는 것에 익숙하다. 신규 거래를 무리하게 성사시키는 전략보다는 마케팅으로 저변을 넓히는 것이 바람직하겠다. 또 최종 계약단계에 진입했다면 물류나 결제를 한번 더 챙겨보는 것이 좋겠다.
자료: Laotian Times, Vientiane Times, The Diplomat, The National Taskforce Committee for Covid-19 Prevention and Control 자료, SEZ 중앙위원회 자료







































